Free Devonte Harris (Tay)

Hello, world. I am Devonté and I just want to be seen, to be understood deeply, and to not be so utterly alone. Sometimes my incarceration makes me feel invisible.

I was born and raised in the Pueblo Del Rio housing projects in South Central, Los Angeles. My mom persevered and through hard work upgraded me, my younger sister, and younger brother to the Natomas suburbs of Sacramento, Ca. While attending American River College and working for the Well’s Fargo Guard Service, I had a financial falling out with my mother. She kicked me out of her house.

The hustle and bustle of the ghetto is something I always missed, so instead of branching out on my own, I retreated back to my old neighborhood to stay with my grandmother. A decision that ultimately landed me in prison for a carjacking back in 1999.

Game goofiness had me really believing I would receive a fair trial, that I was innocent until proven guilty, blah blah blah. Then I got convicted on some floppy disc flimsy evidence that wasn’t even in the same area code as proof beyond a reasonable doubt.

This is a crime of which I am legally innocent. I do not say factually innocent because I am beyond the point of trying to convince anyone, “I did not do it”. However, as a matter of proper grammar, I should no longer be serving a long sentence with no punctuation mark.

Since I am afforded this platform though, I must show you a few documents from my case so you can judge whether it seems like a frame-up job. My beliefs cannot be accepted as true without inviting the whole world to prove them unfounded.

Robert Harron initially implicated me in this case. I don’t call it snitching because that would imply he was telling the truth. This was more of a smoke screen to take police attention off of himself. He ultimately was not even credible enough for the prosecutor to call as a witness but peep the real life affidavit.
Exhibit ‘A’.

The detectives showed the victim Hector Melendez several photographic six-packs, one of which I was included, but he did not pick me out according to the police report. Charles Osbourne, my so-called codefendant, supplied another smoke screen to explain this away by claiming I shaved my head after the carjacking.
Exhibit ‘B’.

At the trial, although I could not prove witness tampering, Melendez’s non-identification transformed into a semi-identification. Upon questioning by the prosecutor, all of a sudden, Melendez had actually recognized me in the photographic six-pack and told the detective if I had curly hair then I would look like the person who robbed him.
Exhibit ‘C’.

Sound familiar?

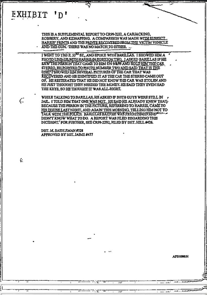
The detectives found fingerprints on the victim’s car and the gun recovered in connection with this case. They conducted a comparison with my fingerprints and there was no match. Exhibit ‘D’.

Men lie. Women lie. Scientific evidence doesn’t. Or does it?

At trial, although I could not prove evidence tampering, this no match comparison became inconclusive. The investigating detective testified the fingerprints recovered from the car and gun were so smudged, that although a comparison was attempted, a match could not be made with anyone’s fingerprints. Not even the victim!
Exhibit ‘E’.

Funny how the police report mentions no such a thing. No comparison made with no one but me. And not a smidgen on smudges.

Anyway, this is a small but important part of my story. Delivered in first-person narrative. The way I reconstruct these experiences helps me make sense of what happened to me but it is only my perspective. I am sure the detectives and prosecutor sleep well at night and their actions do not at all seem to them like injustice.

Everybody has life lessons that emerge from our struggles as human, so in this way I am not unique. If you are reading this, maybe we can find a context in which our common attributes link us up. We all have burdens we must carry: Grief and disappointments we cannot change. But we can make them lighter if we do not bear them silently and alone.

I just want to open relationships between myself and others.
Not to connect with people whom I am unconnected; but to discover connections
we already have but were unaware of. So I am hurling a rock with a message
attached over these walls. It reads, “Let us knock down these walls and use the debris to pave a road we can walk together.”

CONTACT INFORMATION:

MAILING ADDRESS: Devonté B. Harris #P73399; Kern Valley State Prison; P.O. Box 5103; Facility ‘C’, Building #7, Cell #217; Delano, Ca 93216

You can leave me a voice message or text through Corrio account: (559) 234-0749.  I can then return a voice message or call direct without dialing your number.

PRISON NETWORK: CDCR has digital tablets now. I can make free prepaid calls to anywhere in the world. If you sign up at gettingout.com, we can text and face time. You can send me digi­tal pictures and 30 second videos too.

https://www.givesendgo.com/freetay

 

Exhibit “A”

Exhibit “B”

Exhibit “C”

Exhibit “D”

Exhibit “E”